- Trending Categories
Data Structure
Networking
RDBMS
Operating System
Java
MS Excel
iOS
HTML
CSS
Android
Python
C Programming
C++
C#
MongoDB
MySQL
Javascript
PHPPhysics
Chemistry
Biology
Mathematics
English
Economics
Psychology
Social Studies
Fashion Studies
Legal Studies
- Selected Reading
- UPSC IAS Exams Notes
- Developer's Best Practices
- Questions and Answers
- Effective Resume Writing
- HR Interview Questions
- Computer Glossary
- Who is Who
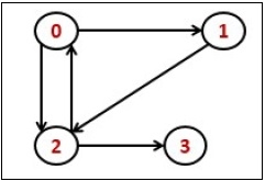
Transitive closure of a Graph
Transitive Closure it the reachability matrix to reach from vertex u to vertex v of a graph. One graph is given, we have to find a vertex v which is reachable from another vertex u, for all vertex pairs (u, v).

The final matrix is the Boolean type. When there is a value 1 for vertex u to vertex v, it means that there is at least one path from u to v.
Input and Output
Input: 1 1 0 1 0 1 1 0 0 0 1 1 0 0 0 1 Output: The matrix of transitive closure 1 1 1 1 0 1 1 1 0 0 1 1 0 0 0 1
Algorithm
transColsure(graph)
Input: The given graph.
Output: Transitive Closure matrix.
Begin copy the adjacency matrix into another matrix named transMat for any vertex k in the graph, do for each vertex i in the graph, do for each vertex j in the graph, do transMat[i, j] := transMat[i, j] OR (transMat[i, k]) AND transMat[k, j]) done done done Display the transMat End
<2>Example
#include<iostream>
#include<vector>
#define NODE 4
using namespace std;
/* int graph[NODE][NODE] = {
{0, 1, 1, 0},
{0, 0, 1, 0},
{1, 0, 0, 1},
{0, 0, 0, 0}
}; */
int graph[NODE][NODE] = {
{1, 1, 0, 1},
{0, 1, 1, 0},
{0, 0, 1, 1},
{0, 0, 0, 1}
};
int result[NODE][NODE];
void transClosure() {
for(int i = 0; i<NODE; i++)
for(int j = 0; j<NODE; j++)
result[i][j] = graph[i][j]; //initially copy the graph to the result matrix
for(int k = 0; k<NODE; k++)
for(int i = 0; i<NODE; i++)
for(int j = 0; j<NODE; j++)
result[i][j] = result[i][j] || (result[i][k] && result[k][j]);
for(int i = 0; i<NODE; i++) { //print the result matrix
for(int j = 0; j<NODE; j++)
cout << result[i][j] << " ";
cout << endl;
}
}
int main() {
transClosure();
}
Output
1 1 1 1 0 1 1 1 0 0 1 1 0 0 0 1
Advertisements